邮件系统
|
校内办公
|
English
|
学年校历
首 页
学校概况
学校简介
学校章程
校史沿革
历任领导
现任领导
校园风光
机构设置
机关部门
群团组织
学院(部、馆)
独立学院
校直属研究机构
机关直属单位
产业后勤系统
地方研究院
师资队伍
人才风采
高层次人才计划
教师数据中心
博士后流动站
学科建设
国家重点学科
浙江省一流学科
博士学位授权点
硕士学位授权点
教育教学
本科生教育
研究生教育
国际教育
继续教育
科学研究
科学技术研究院
社会科学研究院
工业研究院
国家大学科技园
招生就业
本科生招生
研究生招生
留学生招生
继续教育招生
就业指导服务
人才招聘
改革进展
图 书 馆
信息门户
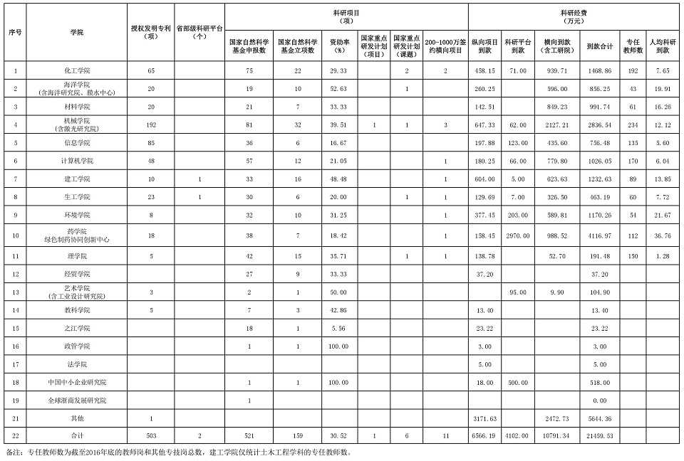
members28365-3652017年1-8月科研进展情况
(科学技术研究院统计)
来 源: 科学技术研究院 日 期: 2017-09-15 点击率:
1766
|
招标信息
|
精品课程
|
精弘苑
|
工大校友
|
媒体工大
|
视频新闻
|
工大校报
|
学生社区
|
信息服务
|
信息公开
|
相关链接
|
意见建议
|
| 浙江省杭州市下城区潮王路18号 | 邮编 310014 | 查号台 0571-88320114
版权所有
©
members28365-365 |
信息化办公室维护
| 网络管理 www@zjut.edu.cn
官方微信集锦
浙ICP备06055204号
浙公网安备 33010302002621号